verhoogde tegemoetkoming ziekenkas
-
Dicksy - Lid geworden op: 11 jul 2019, 20:17
Nu zou ik eens graag willen vernemen wat u hier schrijft juist is of wat onze ziekenkas ons ter kennis gebracht heeft.wardje schreef:
Standaard wordt rekening gehouden met het BRUTO belastbaar gezinsinkomen van het jaar voordien. Bij aanvragen in 2021 is dit dus met het inkomen van 2020.
Om recht te kunnen hebben op verhoogde tegemoetkoming moet je bruto-belastbare gezinsinkomen* van het voorbije kalenderjaar lager zijn dan 19.892,01 euro , verhoogd met 3.682,55 euro per bijkomend gezinslid en mag het actuele inkomen niet gestegen zijn dit daterend van (1 jan. 2021)
U schrijft dat het 19.892,01 euro is dat niet mag overschreden worden, onze ziekenkas beweerd een ander bedrag. Er zijn bij ons geen andere inwonende personen.
Praten wij misschien over twee verschillende zaken, kan ook mogelijk zijn of niet?

-
Seppe123 - Lid geworden op: 05 jan 2015, 10:53
U heeft alle twee gelijk. Er zijn 2 berekening:
Het bruto belastbaar inkomen van 2020: grens: 19892,01 verhoogd met 3682,55 per bijkomend gezinslid
Het bruto belastbaar maandinkomen: Inkomen per dag van de maand voor de aanvraag x 313, verhoogd met 3694,61 per bijkomend gezinslid.
Het bruto belastbaar inkomen van 2020: grens: 19892,01 verhoogd met 3682,55 per bijkomend gezinslid
Het bruto belastbaar maandinkomen: Inkomen per dag van de maand voor de aanvraag x 313, verhoogd met 3694,61 per bijkomend gezinslid.
-
Seppe123 - Lid geworden op: 05 jan 2015, 10:53
Ik heb via de site van het ziekenfonds een klachtenformulier ingevuld, gegevens over de ombudsman vind je nergens.
Ik heb ook aan het Riziv de vraag gesteld of de pensioeninhouding belastbaar inkomen is.
De belastingen hebben me aan de telefoon gezegd dat dit niet belastbaar is, maar ze komen niet tussen in de werking van de ziekenfondsen.
Maar het zal wel weer veertien dagen duren eer ik antwoord krijg. Geen loketten open, geen dienstverlening.
Ik heb ook aan het Riziv de vraag gesteld of de pensioeninhouding belastbaar inkomen is.
De belastingen hebben me aan de telefoon gezegd dat dit niet belastbaar is, maar ze komen niet tussen in de werking van de ziekenfondsen.
Maar het zal wel weer veertien dagen duren eer ik antwoord krijg. Geen loketten open, geen dienstverlening.
-
Dicksy - Lid geworden op: 11 jul 2019, 20:17
Ze beëindigen hun schrijven als volgt en ik citeer:Seppe123 schreef:
Dicksy, kan u op uw berekening zien of ze inhouding pensioen of RSZ hebben bijgeteld als belastbaar inkomen?
Zegt genoeg denk ik.‘De hierboven hernomen bedragen houden rekening met het bruto bedrag van uw inkomsten. Deze bedragen kunnen derhalve verschillen van de werkelijk ontvangen bedragen.’
-
paullamb - Lid geworden op: 07 jun 2005, 00:03
- Locatie: Lommel
Seppe, ik moet toch even terugkrabbbelen,
Uw dochter , 32 jaar is invalide.kinderen ?
Is ze erkend als invalide ? Dan heeft ze al recht op een belasting vermindering .
Wat voor tegemoetkoming wilt u nu nog bekomen
Telefoon, auto, vuilnis ophaling ? Een verhoogd bedrag zal er niet inzitten, want al die barema’s staan op papier,
Leg eens uit wat u verstaat onder “ verhoogde tegemoetkoming” en wat is een groot bedrag?
Om een juist inzicht te krijgen in de situatie van uw dochter hebben velen van ons juiste bedragen nodig of copies vaan vroegere belastingbrieven Maar ik begrijp dat dit TE privé is.
U moet echt ( en helaas is dat in deze tijd) een afspraak maken voor een gesprek hetzij met OCMW, dienst op de stad of hogergeplaatste van uw ziekenkas.
Telefoon, mail helpt deze dagen niet meer, het zijn mensen die uw dossier niet kunnen of willen begrijpen.
U moet hier uw cijfers niet openbaar maken, maar als u niet te ver van Lommel woont, wil ik gerust uw probleem eens bekijken.
En als u bij de CM bent, heeft u de website niet goed bekeken. Klachten kan u altijd overmaken ( die behandelt de ombudsman) Maar als het waar is dar uw dochter twee jaar een verhoogde tegemoetkoming heeft gehad, vraag ik me af waaruit dit bestond,
Ik hoop dat alles tot een goed eind komt, maar ik en de andere helpers kunnen niet uw dossier bekijken.
Uw dochter , 32 jaar is invalide.kinderen ?
Is ze erkend als invalide ? Dan heeft ze al recht op een belasting vermindering .
Wat voor tegemoetkoming wilt u nu nog bekomen
Telefoon, auto, vuilnis ophaling ? Een verhoogd bedrag zal er niet inzitten, want al die barema’s staan op papier,
Leg eens uit wat u verstaat onder “ verhoogde tegemoetkoming” en wat is een groot bedrag?
Om een juist inzicht te krijgen in de situatie van uw dochter hebben velen van ons juiste bedragen nodig of copies vaan vroegere belastingbrieven Maar ik begrijp dat dit TE privé is.
U moet echt ( en helaas is dat in deze tijd) een afspraak maken voor een gesprek hetzij met OCMW, dienst op de stad of hogergeplaatste van uw ziekenkas.
Telefoon, mail helpt deze dagen niet meer, het zijn mensen die uw dossier niet kunnen of willen begrijpen.
U moet hier uw cijfers niet openbaar maken, maar als u niet te ver van Lommel woont, wil ik gerust uw probleem eens bekijken.
En als u bij de CM bent, heeft u de website niet goed bekeken. Klachten kan u altijd overmaken ( die behandelt de ombudsman) Maar als het waar is dar uw dochter twee jaar een verhoogde tegemoetkoming heeft gehad, vraag ik me af waaruit dit bestond,
Ik hoop dat alles tot een goed eind komt, maar ik en de andere helpers kunnen niet uw dossier bekijken.
-
Seppe123 - Lid geworden op: 05 jan 2015, 10:53
Paullamb, de verhoogde tegemoetkoming van het ziekenfonds wil zeggen dat alle consultaties bij dokters, specialisten enz. goedkoper zijn, medicamenten goedkoper, je moet geen provinciebelasting meer betalen, vermindering op de rekening zorgkas, mazouttoelage, vermindering op socio-culturele activiteiten via pas , vermindering op trein enz...Dit gaat op jaarbasis toch over veel geld. Mijn dochter woont alleen in een huurhuis met een invaliditeitsuitkering, dus alle steun is welkom
-
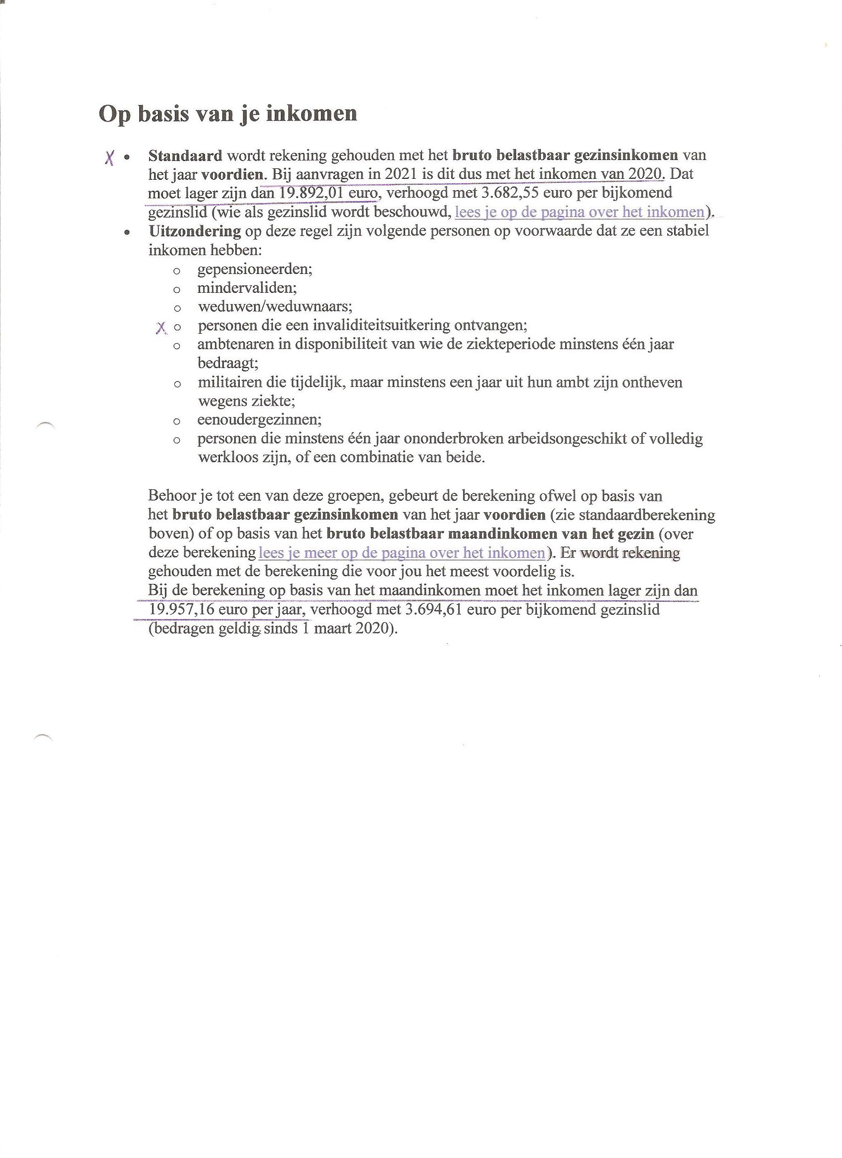
Seppe123 - Lid geworden op: 05 jan 2015, 10:53
[img]uploads/04b848d529e59ee4c00c89fe9b9be5b3.jpg[/img]
[img]uploads/faf2979199a2b923965cdbd4c6dfce8e.jpg[/img]
Hier spreken ze van belastbaar inkomen, in het antwoord van Dicksy zien we dat een aanvraag geweigerd wordt op basis van het bruto inkomen.
Ze tellen dus de afhouding voor pensioen ( ongeveer 55 euro per maand) mee in de berekening van het inkomen. Zo komt ze boven de grens om nog verhoogde tegemoetkoming te krijgen.
Enkele maanden geleden heb ik op het nieuws gehoord dat er meer mensen recht zouden hebben op verhoogde tegemoetkoming. Maar als ze nu RIZIV en inhoudingen voor pensioen meetellen als inkomen, dan denk ik dat er niet veel mensen onder de grens vallen.
[img]uploads/faf2979199a2b923965cdbd4c6dfce8e.jpg[/img]
Hier spreken ze van belastbaar inkomen, in het antwoord van Dicksy zien we dat een aanvraag geweigerd wordt op basis van het bruto inkomen.
Ze tellen dus de afhouding voor pensioen ( ongeveer 55 euro per maand) mee in de berekening van het inkomen. Zo komt ze boven de grens om nog verhoogde tegemoetkoming te krijgen.
Enkele maanden geleden heb ik op het nieuws gehoord dat er meer mensen recht zouden hebben op verhoogde tegemoetkoming. Maar als ze nu RIZIV en inhoudingen voor pensioen meetellen als inkomen, dan denk ik dat er niet veel mensen onder de grens vallen.
Laatst gewijzigd door Seppe123 op 22 mei 2021, 12:39, 1 keer totaal gewijzigd.
-
Dicksy - Lid geworden op: 11 jul 2019, 20:17
En daarom heb ik na ontvangst van hun schrijven hen ook medegedeeld dat ik niet meer zal ingaan op hun vraag om mijn inkomsten mede te delen en ik zelf wel zal zien of we die bewuste grens al dan niet overschrijden. Dit ook omdat ik mijn tijd niet wil verkwisten aan iets waar men de uitkomst al van kent/zelf kan berekenen. De vraag tot overmaken van de gegevens wordt 2x/jaar gesteld.Seppe123 schreef:
Hier spreken ze van belastbaar inkomen, in het antwoord van Dicksy zien we dat een aanvraag geweigerd wordt op basis van het bruto inkomen.
Ze tellen dus de afhouding voor pensioen ( ongeveer 55 euro per maand) mee in de berekening van het inkomen. Zo komt ze boven de grens om nog verhoogde tegemoetkoming te krijgen.
Enkele maanden geleden heb ik op het nieuws gehoord dat er meer mensen recht zouden hebben op verhoogde tegemoetkoming. Maar als ze nu RISIV en inhoudingen voor pensioen meetellen als inkomen, dan denk ik dat er niet veel mensen onder de grens vallen.
-
Seppe123 - Lid geworden op: 05 jan 2015, 10:53
Wardje, ik vrees dat u gelijk hebt.
Ik wacht de reactie nog af van de ombudsman en het RIZIV en als ze bevestigen dat de berekening gebeurt op het bruto inkomen, zullen we ons daarbij neerleggen.
Ik begrijp ook niet dat de verhoogde tegemoetkoming 2 jaar geleden wel toegekend werd, en nu ( het inkomen is nog gezakt) niet meer.
Alvast iedereen bedankt om mee te willen denken, toch een grote steun als je het even niet meer ziet!
Ik wacht de reactie nog af van de ombudsman en het RIZIV en als ze bevestigen dat de berekening gebeurt op het bruto inkomen, zullen we ons daarbij neerleggen.
Ik begrijp ook niet dat de verhoogde tegemoetkoming 2 jaar geleden wel toegekend werd, en nu ( het inkomen is nog gezakt) niet meer.
Alvast iedereen bedankt om mee te willen denken, toch een grote steun als je het even niet meer ziet!
-
Seppe123 - Lid geworden op: 05 jan 2015, 10:53
Ik heb van het RIZIV een duidelijk antwoord gekregen:
De bijdrage van 3,5% op de invaliditeitsuitkeringen voor de sector van de pensioenen wordt wel in aanmerking genomen in het kader van de verhoogde tegemoetkoming.
De reglementering inzake de verhoogde tegemoetkoming heeft namelijk een eigen definitie van “belastbare bruto-inkomsten” die inderdaad niet altijd overeenkomt met de fiscale definitie. De verhoogde tegemoetkoming heeft dan ook een andere finaliteit; het betreft een voorkeurregeling binnen de Belgische verplichte verzekering voor geneeskundige verzorging die zich richt tot personen in een financiële noodsituatie.
Eindelijk een duidelijk antwoord, daar kan ik mee leven. Hiermee is mijn vraag opgelost.
De bijdrage van 3,5% op de invaliditeitsuitkeringen voor de sector van de pensioenen wordt wel in aanmerking genomen in het kader van de verhoogde tegemoetkoming.
De reglementering inzake de verhoogde tegemoetkoming heeft namelijk een eigen definitie van “belastbare bruto-inkomsten” die inderdaad niet altijd overeenkomt met de fiscale definitie. De verhoogde tegemoetkoming heeft dan ook een andere finaliteit; het betreft een voorkeurregeling binnen de Belgische verplichte verzekering voor geneeskundige verzorging die zich richt tot personen in een financiële noodsituatie.
Eindelijk een duidelijk antwoord, daar kan ik mee leven. Hiermee is mijn vraag opgelost.